IBEW Local 51
  • Home
  • Officers Staff History Contact Us
  • GET ON THE BOOKS Online Re-Sign Online Referral Form Work Picture Mid-America Properties
  • Calendar
  • News
  • Employer Listing Outside Construction
  • STORM WORK
  • Links
  • Politics
  • RENEW
  • DUES
  • Apprenticeship
  • Apparel
IBEW Local 51
  • Home/
  • About Local 51/
    • Officers
    • Staff
    • History
    • Contact Us
  • Jobs/
    • GET ON THE BOOKS
    • Online Re-Sign
    • Online Referral Form
    • Work Picture
    • Mid-America Properties
  • Calendar/
  • News/
  • Employers/
    • Employer Listing
    • Outside Construction
  • STORM WORK/
  • Links/
  • Politics/
  • RENEW/
  • DUES/
  • Apprenticeship/
  • Apparel/
IBEW Local 51

News

IBEW Local 51
  • Home/
  • About Local 51/
    • Officers
    • Staff
    • History
    • Contact Us
  • Jobs/
    • GET ON THE BOOKS
    • Online Re-Sign
    • Online Referral Form
    • Work Picture
    • Mid-America Properties
  • Calendar/
  • News/
  • Employers/
    • Employer Listing
    • Outside Construction
  • STORM WORK/
  • Links/
  • Politics/
  • RENEW/
  • DUES/
  • Apprenticeship/
  • Apparel/

CURRENT NEWS


April 05, 2017

AmerenIllinois CBA Negotiations 4/5/17

April 05, 2017/ Karlene Knisley

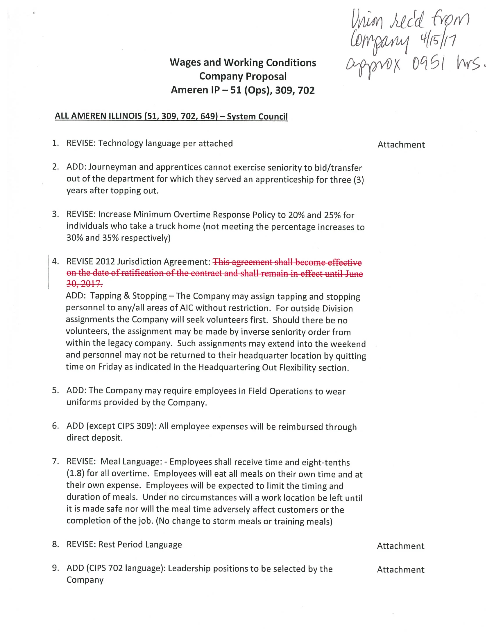
Company proposals

AmerenCILCO CP.jpg
Ameren CP 040517.jpg
Ameren CP2 040517.jpg
Ameren CP3 040517.jpg
Ameren CP4 040517.jpg
Ameren CP5 040517.jpg
Ameren CP6 040517.jpg
Ameren CP7 040517.jpg
Ameren CP8 040517.jpg
Ameren CP9 040517.jpg
Ameren CP10 040517.jpg
Ameren CP11 040517.jpg
Ameren CP12 040517.jpg
Ameren CP13 040517.jpg
Ameren Clerical CP 040517.jpg
Ameren Clerical CP1 040517.jpg
Ameren Clerical CP2 040517.jpg
Ameren Clerical CP3 040517.jpg
Ameren Clerical CP4 040517.jpg
Ameren Clerical CP5 040517.jpg
Ameren Clerical CP6 040517.jpg
Ameren Clerical CP7 040517.jpg
Ameren Clerical CP8 040517.jpg
Ameren Clerical CP9 040517.jpg
Ameren Clerical CP10 040517.jpg
Ameren CP11 040517.jpg
Ameren CP12 040517.jpg
Ameren CP13 040517.jpg
AmerenCILCO CP.jpg Ameren CP 040517.jpg Ameren CP2 040517.jpg Ameren CP3 040517.jpg Ameren CP4 040517.jpg Ameren CP5 040517.jpg Ameren CP6 040517.jpg Ameren CP7 040517.jpg Ameren CP8 040517.jpg Ameren CP9 040517.jpg Ameren CP10 040517.jpg Ameren CP11 040517.jpg Ameren CP12 040517.jpg Ameren CP13 040517.jpg Ameren Clerical CP 040517.jpg Ameren Clerical CP1 040517.jpg Ameren Clerical CP2 040517.jpg Ameren Clerical CP3 040517.jpg Ameren Clerical CP4 040517.jpg Ameren Clerical CP5 040517.jpg Ameren Clerical CP6 040517.jpg Ameren Clerical CP7 040517.jpg Ameren Clerical CP8 040517.jpg Ameren Clerical CP9 040517.jpg Ameren Clerical CP10 040517.jpg Ameren CP11 040517.jpg Ameren CP12 040517.jpg Ameren CP13 040517.jpg
April 05, 2017/ Karlene Knisley/

Karlene Knisley

  • AmerenIllinois CBA Negotiations ...
  • Stop Federal RTW
  • Home/
  • About Local 51/
    • Officers
    • Staff
    • History
    • Contact Us
  • Jobs/
    • GET ON THE BOOKS
    • Online Re-Sign
    • Online Referral Form
    • Work Picture
    • Mid-America Properties
  • Calendar/
  • News/
  • Employers/
    • Employer Listing
    • Outside Construction
  • STORM WORK/
  • Links/
  • Politics/
  • RENEW/
  • DUES/
  • Apprenticeship/
  • Apparel/

IBEW Local 51

Latest News

Featured
IBEW Founders’ Scholarship Annual Notice.jpg
Jan 25, 2024
IBEW Founders' Scholarship
Jan 25, 2024
Jan 25, 2024
Jan 19, 2024
Michael E. Shampine Memorial Scholarship
Jan 19, 2024
Jan 19, 2024
MDS-803-BP-PopArt-Winners_CW14_teaser_EN_uewuiy-1280x640.jpg
Oct 16, 2023
Merchandise Survey Results
Oct 16, 2023
Oct 16, 2023
 

New Apparel

Black pocket tshirt.jpg

Click HERE for more apparel.

 
 
 

© 2014  :  ALL RIGHTS RESERVED  :  IBEW LOCAL 51

Site designed by Trisha Sutton